Reichtum's Blog
  • blog
  • archive
  • tags
  • projects

Learning Dynamics of LLM Fine-Tuning

    Reichtum
  • 29th Sep 2025
  • •1 min read
  • •Tags: 
  • Machine Learning

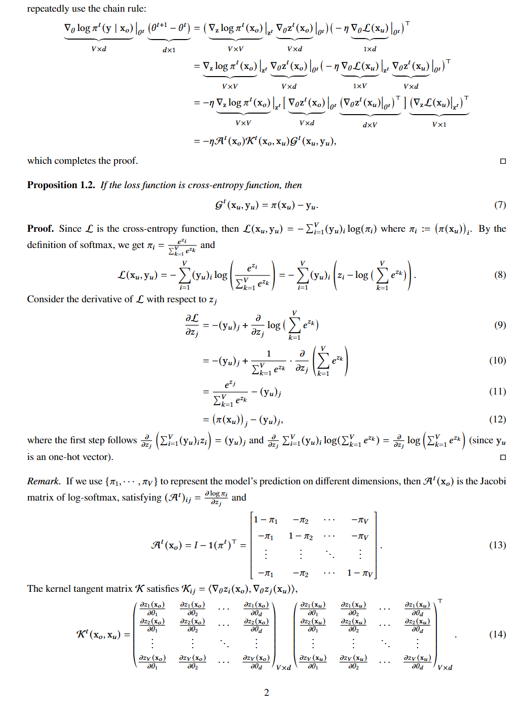
Original Paper: [2407.10490] Learning Dynamics of LLM Finetuning

image

image

image

image

image

‍

Copied! Copy code to clipboard
  • feed
Powered by Zola & tabi

Search

No results 1 result $NUMBER results $NUMBER results $NUMBER results